 
	This article on Bernese Mountain Dogs is part of a series to highlight the Big Picture of health, welfare and breeding and to help develop Globally Relevant Integrated Health Profiles (GRIHPs) for many breeds.  See IPFD's Get a GRIHP! on Breed Health Initiative
	There are many others doing great work to advance heath, well-being, and welfare in this wonderful breed.  We reference and link to terrific work, developments, reports, and research from the UK, USA, Sweden, Finland and more below.  Thanks to all of those working on behalf of Berners.  
	This is a 'living document' - so if anyone has more material to share or point us to - please let us know!
	 
          
		
			
				
	 
	Table of Contents
	Breed At a Glance - Bernese Mountain Dogs
	 The Bernese Mountain Dog is a farm dog of ancestral origin which was utilized in the 18th, 19th and early 20th century as a guard and cart-pulling dog and for driving cattle in the pre-alpine regions and in the midland areas around Bern, Switzerland. Today the dogs are typically easy-going, good-natured and devoted to their own people. The dogs should behave in a self-assured manner and be even-tempered. Bernese may be aloof towards people they do not know. Temperaments can be somewhat variable; but most dogs are adaptable and biddable - the dogs of today make good family companions with proper training and socialization. Typically, most Bernese relate well with other pets and children - guidance/monitoring of interactions between young children and Berners is essential.  As ‘working’ dogs, many members of the breed compete in Obedience, Tracking, Draft, Therapy, Agility and Herding Trials. Possessing a sensible character and reacting appropriately to all situations are the most important trademarks of the Bernese Mountain Dog. Breeders and owners alike place the highest value on maintaining good character and adaptability in this breed. However, like any popular breed, some breeders of dogs are not always of the highest quality, and consumers need to research not only the breed but the source of the dog. The demand for puppies is high; most conscientious breeders keep waiting lists for pups. Some of the dogs in the breed have been known to develop a number of health problems which can compromise function and diminish quality and length of life - the average age for this breed is estimated at 7 -  9 years.
The Bernese Mountain Dog is a farm dog of ancestral origin which was utilized in the 18th, 19th and early 20th century as a guard and cart-pulling dog and for driving cattle in the pre-alpine regions and in the midland areas around Bern, Switzerland. Today the dogs are typically easy-going, good-natured and devoted to their own people. The dogs should behave in a self-assured manner and be even-tempered. Bernese may be aloof towards people they do not know. Temperaments can be somewhat variable; but most dogs are adaptable and biddable - the dogs of today make good family companions with proper training and socialization. Typically, most Bernese relate well with other pets and children - guidance/monitoring of interactions between young children and Berners is essential.  As ‘working’ dogs, many members of the breed compete in Obedience, Tracking, Draft, Therapy, Agility and Herding Trials. Possessing a sensible character and reacting appropriately to all situations are the most important trademarks of the Bernese Mountain Dog. Breeders and owners alike place the highest value on maintaining good character and adaptability in this breed. However, like any popular breed, some breeders of dogs are not always of the highest quality, and consumers need to research not only the breed but the source of the dog. The demand for puppies is high; most conscientious breeders keep waiting lists for pups. Some of the dogs in the breed have been known to develop a number of health problems which can compromise function and diminish quality and length of life - the average age for this breed is estimated at 7 -  9 years.   
	
	Key Health Conditions - The Basics: Bernese Mountain Dogs
	CONTEXT: the list of key health conditions is based on a review of educational content and data available from, e.g., IPFD’s Kennel Club Partners and Bernese Mountain Dog breed club websites; Agria Sweden pet insurance data and breed profiles; other veterinary practice data; and peer reviewed research. The health conditions are identified by experts, breed-health advisors, owners, and available evidence as those affecting health, quality of life, and welfare for affected individual dogs and/or creating issues and management challenges at a breed level.  Key health conditions listed do not represent all health challenges in a breed but are generally recognized as occurring or emerging in the breed; most are important to consider in breeding decisions. This section highlights key conditions - details, further data and more information, breed-specific programs for various conditions, the international breed population - and more - follows further below.
	Orthopedics: HD and ED are management concerns for breeders and owners.  In addition, patella, shoulders and other musculoskeletal issues such as OCD (in elbows, shoulders and hocks) can arise in this large-breed dog.  Cruciate ligament tears and ruptures as well as spinal issues such as cervical spondylomyelopthy (Wobbler's) occur.
	Cancers: Histiocytic diseases, Lymphoma, Mast Cell, Hemangiosarcoma, Osteosarcoma
	Digestive issues: Bloat, IBD, Protein losing enteropathy, Lymphangiectasia
	Reproductive issues: Infertility, Prostate issues, Uterine inertia,  Small litter sizes,  Pyometra, Absorbed litters, Neonatal deaths
	Renal issues: UTI, Kidney diseases
	Auto-Immune issues: Thyroid-related, Steroid‐responsive meningitis‐arteritis, polyarthritis
	Allergies: Food allergies (digestive issues), contact allergies (skin)
	Neurological issues: Degenerative Myelopathy, Epilepsy (in a few family lines)
	 
	What do Caretakers of Bernese Mountain Dogs need to Know?
	 
	Character development: To develop into self-confident adult dogs Bernese puppies need diligent, gentle socialization. Shy and aggressive tendencies are not commonplace but are known to occur in the breed. Obedience training is a must for these large, physically strong dogs.
	Diet & exercise: Weight and physical conditioning management while growing and at all ages are essential in order for members of this breed to thrive, coupled with owner's commitment to provide mental stimulation and quality interaction. Overweight dogs experience strain on joints and spine - keep growing puppies and adult dogs lean.  Exercise opportunities should be tailored to the individual dog's physical capabilities, age and health status.
	Lifespan: While some individuals live for 10 – 14 years, the average lifespan of the Bernese Mountain Dog breed is roughly 8 years; earlier deaths < 7 YOA are not entirely uncommon. Deaths from cancers are reported in a few < 1 year old dogs and are reported in dogs < 6 years of age. There is little variation reported in lifespan across borders. Some family lines may have longer lived dogs.
	Life threatening emergencies: Owners should familiarize themselves with the signs of heatstroke and bloat.  Berners do not tolerate heat well; in temperatures > 70 (F) 21 (C), particularly if left out in the sun or in high humidity, these primarily black dogs can overheat quickly/suffer from heat stroke. Bloat/gastric torsion occurs in the breed and is life threatening.
	Grooming/Environmental considerations: As a heavily coated breed, regular grooming is required to prevent hotspots and skin issues associated with moisture trapped in dense coats - coats that may mat; additionally a well-groomed coat allows for air circulation to enhance cooling . Do not shave - the Bernese coat provides insulation from the cold and protection from sunburn. Allowing Berners a means by which to cope with the thermal environment in which they live cannot be overstated; age and body condition factors apply. Providing access to shade if outdoors and climate controlled quarters indoors (fans, air conditioning) in hot (or warm humid) climates is strongly advised. Dogs that are not accustomed to living in warm/hot temperatures are at increased risk of overheating. Healthy Bernese Mountain Dogs love cool weather and snow!
	Age to/whether to Spay Neuter: a cultural consideration - in the US routine spay/neuter is common for non-breeding dogs/"pets" at < 1 year of age. In several EU countries dogs are not altered except in the case of medical necessity. That said, there’s no solid, one-size-fits-all answer to the question; but we do not suggest ignoring breed-specific studies which contain data that indicates there are increased risks for dogs to develop health problems (cancer, joint disease) associated with spay/neuter. At this time there are no long-term, BMD breed-specific studies to provide more insight to allow veterinarians, breeders who sell puppies and owners of dogs to make the best, informed decisions regarding spay/neuter and the optimal age(s) at which the procedure should be done. Anecdotally, many BMD breeders do not suggest altering dogs prior to physical maturity (< 2 years).  Discuss this matter with your dog's breeder and veterinarian. See the 2020 study, Assisting Decision-Making on Age of Neutering for 35 Breeds of Dogs: Associated Joint Disorders, Cancers, and Urinary Incontinence which includes data on BMDs.
	Vector-borne diseases: anecdotally speaking, each year owners of Berners have reported that tick borne diseases have impacted their dogs. Symptoms include stiffness, lameness, lethargy... vector borne illnesses can be treatable - if they are detected. Lyme disease and ehrlichiosis have been reported quite frequently. Be advised: ticks are hard to spot on Berners - their long dense coats provide camouflage for these pests. Testing BMDs with inexplicable lameness for tick-borne disease is fairly commonplace. Heartworm is a concern in all dogs living in climates/regions where heartworm spreading mosquitos thrive.  Discuss vector-borne disease control strategies with your dog's breeder and veterinarian.      
	Statistics and Health Strategies
	 
	CONTEXT: We are pleased to be able to highlight a selection of internationally based Health Strategy Providers who offer content-rich  statistics and in-depth, up-to-date information on health issues along with health strategies conceived to improve management of health and welfare for many breeds.
	The websites for the Bernese Mountain Dog Club of America and the Finnish club, Suomen Sveitsinpaimenkoirat ry offer exceptional access to expansive breed-specific advice and health articles to aid buyers, owners and breeders.  A more complete listing of Bernese Mountain Dog Breed Clubs located throughout the world is available on DWN's Database page for Bernese Mountain Dogs.  Each Berner Club's website offers value-added breed information. See the Breeding Strategies section below for further international information.
	 
	Population Statistics
	 
	Comment: Registrations have generally trended downwards from 2010 to 2019 in all KC registries except for registrations of BMDs in the US/AKC. Please note KC registered dogs do not necessarily represent all Bernese Mountain Dogs living in the countries shown.
	 
	Additional Country - Canadian KC Registrations
	 
	Health Statistics
	 
	Agria - Swedish Breed Profiles
	 CONTEXT: For many years, Agria Animal Insurance, Sweden (Agria Djurförsäkring, Stockholm, Sweden) has supported veterinary research and provided statistics on diagnoses for health and life claims to Swedish breed clubs.  See Breeds with Swedish Insurance Data and Agria Breed Profiles (where breeds are compared to All Breeds). ! We recommend that you download the Agria Breed Profiles for the Bernese Mountain Dog and study them for full available information.  Some excerpts are shown below! The great benefits of the Swedish insurance data are that they include almost 40% of the national population of dogs, so are very representative; note that animals at very old ages are likely under-represented.  Most importantly, information is available on all insured dogs, not simply those who get sick or die.  This allows calculation of population-based rates (expressed a events per 10,000 years-at-risk) as well as risks and proportions. Statistics are presented as overall morbidity (rate of one or more veterinary care events [VCE]) or mortality (death), by general diagnostic categories, and by specific diagnoses.
CONTEXT: For many years, Agria Animal Insurance, Sweden (Agria Djurförsäkring, Stockholm, Sweden) has supported veterinary research and provided statistics on diagnoses for health and life claims to Swedish breed clubs.  See Breeds with Swedish Insurance Data and Agria Breed Profiles (where breeds are compared to All Breeds). ! We recommend that you download the Agria Breed Profiles for the Bernese Mountain Dog and study them for full available information.  Some excerpts are shown below! The great benefits of the Swedish insurance data are that they include almost 40% of the national population of dogs, so are very representative; note that animals at very old ages are likely under-represented.  Most importantly, information is available on all insured dogs, not simply those who get sick or die.  This allows calculation of population-based rates (expressed a events per 10,000 years-at-risk) as well as risks and proportions. Statistics are presented as overall morbidity (rate of one or more veterinary care events [VCE]) or mortality (death), by general diagnostic categories, and by specific diagnoses.          
	 
	Survival - Neoplasia & Locomotor - Bernese Mountain Dogs compared to other breeds
	 
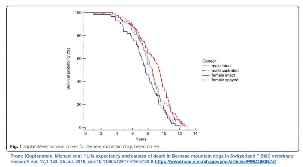
	A study from Switzerland in 2016 demonstrated the same pattern – 80% dead by 10, 50% dead around 8 years of age. The paper also indicates lower median age at death for cancer, also similar to findings from the Swedish insurance data.
	 
	Agria 2011-2016 - Locomotor - BMD compared with 'working breeds', Mixed and All breeds 
	 
	 
	Agria 2011-2016 - Neoplasia BMD compared with 'working breeds', Mixed and All breeds
	 
	 
	
	Specific Causes of Morbidity and Mortality - Bernese Mountain Dogs - 2006 -2011 & 2011-2016
	In the charts below the red line is the rate in Bernese Mountain Dogs and the blue All Breeds. (VCE = Veterinary Care Event.) The further to the right the line goes, the more common the condition.  If there is a marked difference in the length of the two lines, it means Berners have a different risk than All Breeds.  For example: Digestive causes for veterinary care visits (often vomiting/diarrhea, see specific causes further below) are common in both Bernese and All Breeds. 
	The charts below, along with showing risk for orthopedic concerns, illustrate the increased risks for neoplasia / cancers / tumors in the Bernese Mountain Dog breed compared to all Breeds. Pyometra / Endometritis, Cesarean, Prostate and Foreign Body_GI are shown with an increased rate compared to All Breeds.
	Comment: Some Bernese Mountain Dogs have a strong tendency for PICA (Digestive disorder) - eating toys, rocks and cloth items like socks is a recognized issue with some members of this breed which may explain the increased rate of VCE classified as Foreign Body_GI in BMDs.
	 
	 
	Locomotor
	 
	 
	 
	Comment: Differentiation of specific cancer types based on histopathology may not be fully represented in the charts. 
	 
	 
	Summary:
	Evident in the Agria Breed profiles for Bernese Mountain Dogs, in the Swiss study, Life expectancy and causes of death in Bernese mountain dogs in Switzerland, as well as represented in multiple country's (Sweden, UK, US, Finland) breed health surveys (see links on the DWN's BMD DB page) and as documented in scientific research, cancer and locomotor issues are of significant concern in the breed. Digestive, renal and reproductive issues impact the breed as well. 
	Findings across all countries in which the breed has been studied confirm a high prevalence of neoplasia and associated low life expectancy in BMDs. It is estimated in various surveys, research and health studies that anywhere from 58% - 66% of Bernese Mountain Dog's Cause of Death is Cancer. Histiocytic diseases are estimated at 25% of all cancers in the breed. Histiocytic disease is estimated at 16% of all deaths - which translates to: roughly 1 in 6 dogs die from histiocytic cancers. Typically, this type of cancer presents in 6-8 year old dogs but it has also been found in dogs at < 1 year of age and in dogs greater than 12 years of age. The Bernese clubs throughout the world have conducted health surveys for many years to monitor health and longevity in the breed. Identifying key areas of concern for the breed, developing health screening programs, funding breed research and developing effective strategies to address issues to improve health and welfare of the dogs is challenging. Sharing information among the community benefits breed managers - if not the dogs themselves. Conveying an accurate picture of Bernese to buyers and owners can help to shape realistic expectations for what the breed has to offer in terms of qualities of companionship, along with health and management considerations.    
	Progress has been made in reducing the incidence of severe forms of hip and elbow dysplasia via use of health screening programs which guide breeding choices. However, elbow dysplasia data in multiple studies and health registries indicates there are a good many abnormal elbow results recorded for this breed - clinical severity/ED's impacts on the dog vary. After 30 years of screening/selection away from the most severe forms of ED, it may be that the complexity of elbow diseases/conditions has hampered efforts to reduce ED issues.
	 
	Bernese Mountain Dogs - Breed Specific Breeding Strategies
	Sweden: SKK: RAS - Revision 2018-03-15 
	Excerpts... "A compilation of Agria's insurance data update of breed statistics was carried out in 2006-2011. In summary, Berner Sennenhund the median age for the risk of dying is 5.5 for males and 5.6 for bitches, so no gender difference were  demonstrated. (Comment - in some studies female BMDs are shown to live longer than male BMDs.)The risk of death is 2.4 times higher than for all breeds. Among the highest causes of mortality are tumor diseases, skeletal diseases and diseases of the upper urinary tract (kidney diseases)." Further..."The following specific diseases are the most common causes of veterinary visits: 1. Skeletal and joint diseases; 2. Skin inflammation / infection; 3. Skin tumors; 4. Gastrointestinal tract diseases; 5. Pyometra" "Prioritization of important short-term and long-term goals The following are priorities for the breeding goals for Berner Sennen: 1. Fertility; 2. Tumors; 3. Kidney diseases; 4. Mentality" "Fertility is a prerequisite for combating other diseases. With declining fertility, we risk a reduced breeding base, which makes it more difficult to fight other diseases. Tumor diseases are the ones that have the most impact on the low average age of the breed, so fighting tumor diseases helps us to achieve another priority breeding goal, to increase life expectancy. The same goes for the kidney diseases, which are fatal and affect young animals. The club works to maintain the breed's typical temperament by recommending the use of official mental descriptions."
	UK: The Kennel Club, UK: Breed Watch 
	Finland: JTO 2015-2019
	Excerpts "In several European countries, about 60% of dogs die from tumors. About 25% of tumors are histiocytic sarcoma which is the most common tumor. Research conducted by Catherine André's group in Rennes suggests that combating histiocytic sarcoma also reduces the incidence of other tumors. Description of short-term and long-term goals... The general goal is to improve the health and function of the Bernese Mountain Dog. Renal dysplasia control programs are currently underway. For HD and ED, the previous control program has been replaced by a preliminary litter index at mating. The overall goals are: • Increase life expectancy in the population • Reduce the incidence of tumor diseases • Improve joint health • Reduce reproductive problems"
	US: CHIC (OFA)
	REQUIRED Tests
	AKC DNA Profile (Parentage verification)
	Hip Dysplasia (One of the following) - OFA Evaluation, PennHIP Evaluation
	Elbow Dysplasia - OFA Evaluation
	Eye Examination - Eye Examination by a boarded ACVO Ophthalmologist
	Cardiac Evaluation (One of the following) - Congenital Cardiac Exam with exam by cardiologist, Advanced Cardiac Exam, Basic Cardiac Exam with exam by cardiologist
	Degenerative Myelopathy (DM) DNA results for both SOD1-A and SOD1-B, or an at-risk result for either SOD1-A or SOD1-B registered with the OFA  - inc. testing by other recognized lab
	Elective (One of the following)
	DNA-based vWD result registered with the OFA.
	Autoimmune Thyroiditis OFA evaluation from an approved lab.
	Histiocytic Sarcoma Pre-test DNA test results from Antagene, recorded with the OFA.
	 
	Health Screening Tests for Bernese Mountain Dogs
	SUMMARY: Health tests for Bernese Mountain Dogs include those inherited conditions that are broadly relevant to dogs – hip and elbow dysplasia, and to a lesser extent across different countries clinical eye examinations. The most common (but not pervasive) eye conditions include entropion, ectropion, distichiasis, cataracts (recorded in multiple health registries) and rarely PRA. Heart testing is also done, and required for a CHIC# in the US - there are reported incidences of SAS and dilated cardiomyopathy.
	
		More Info
	
	
		
			For a sense of which tests are recorded for this breed see: OFA statistics for Bernese Mountain Dogs at: https://secure.ofa.org/regSums/BERNESE MOUNTAIN DOG.pdf
		
		
			Summary of conditions/a few of the common tests recognized as important within the Bernese breeder community... it is important to recognize not all BMDs (registered or unregistered) are screened. 
		
		
			Hips: abnormal - 16.3%; normal - 82.1%; equivocal - 1.6%
		
		
			Elbows: abnormal - 26.7%; normal - 72.9%; equivocal - 0.4%
		
		
			Degenerative Myelopathy SOD1a: abnormal - 11.1%; normal - 43.4%; carrier - 45.5% : Degenerative Myelopathy SOD1b: abnormal - 8.2% normal - 91.8%. See more on Degenerative Myelopathy below.
		
		
			 NOTES: In Bernese onset of early symptoms of this disease can occur from age 6 onward.  Not all "At Risk" dogs develop DM. Researchers do not know why some "At Risk" dogs do not develop this condition. It is likely there are other genetic or environmental factors that may suppress or trigger the disease; and in the case of BMDs, with a short lifespan, dogs may not live long enough to become affected - as it is considered a late-onset neurological disease. The DNA test for the SOD1a mutation became available in 2008; the second mutation, SOD1b (only found in BMDs) became available in 2010. The test is recognized in multiple countries' breeder communities.
NOTES: In Bernese onset of early symptoms of this disease can occur from age 6 onward.  Not all "At Risk" dogs develop DM. Researchers do not know why some "At Risk" dogs do not develop this condition. It is likely there are other genetic or environmental factors that may suppress or trigger the disease; and in the case of BMDs, with a short lifespan, dogs may not live long enough to become affected - as it is considered a late-onset neurological disease. The DNA test for the SOD1a mutation became available in 2008; the second mutation, SOD1b (only found in BMDs) became available in 2010. The test is recognized in multiple countries' breeder communities. 
		
		
			Von Willebrands type 1: carrier - 1.6%; normal - 98.4%
		
		
			Comment: vWD is a bleeding disorder, and a genetic test made available in 2000. Breeders have been able to breed away from this disease, so it is rarely seen today.
		
		
			Eyes: abnormal - 1.4%; normal - 98.6%
		
		
			For eye conditions found in BMDs see the ACVO Bluebook.
		
		
			Comment: Progressive Retinal Atrophy (PRA) is a genetic based disease that causes the dogs to become blind, usually by the age of 8 or sooner. There is no genetic test for this in Berners yet but an eye exam can be done to identify the disease. The disease was detected in a few BMD lines prior to 2014 but is considered rare in the breed with 0 cases shown in the ACVO Bluebook exam records from 2015-19. Eye exams are required for a CHIC number.  
		
		
			-------------------------------------------------------------------------------------------------------------------------------
		
		
			See OFA's breed statistics for the complete list. Along with the results extracted and shown above, note the records for Cardiac, Patella, Shoulders and Thyroid tests - these are conditions universally acknowledged as present/to be monitored in this breed. A standard recommendation is that if there are disease symptoms present in a given dog or if a particular condition is known to exist in the family lines/pedigree - testing is advised.
		
		
			Comment: The OFA's data reports appear to contain somewhat similar percentages of unaffected/clear dogs to dogs with 'abnormal' or carrier results for several BMD conditions when compared to results listed in other data sources (health registries). See database resources links at the end of this article.  
		
		
			 
		
		
			OTHER HEALTH INFO - Health Surveys US - Notes on Kidney/urinary issues and Digestive issues from the 2005 BMDCA Health Survey (1294 total Dogs in the survey)
		
		
			Kidneys
		
		
			110 Cystitis (bladder infection)  How many? – more than 200
		
		
			                Chronic problems – 6
		
		
			     1 Familial glomerulonephropathy
		
		
			   12 Stones
		
		
			   32 Incontinence
		
		
			     1 Renal dysplasia
		
		
			Other:  urine: dilute – 3;  small kidneys – 2; other kidney problems - 4
		
		
			Gastrointestinal
		
		
			  36 Irritable bowel syndrome
		
		
			    5 Intussuception
		
		
			  54 Bloat
		
		
			Avg Age   20.40 mos.(median 60) 
		
		
			Was bloat cause of death?   5 
		
		
			Surgery(s) required? 48 
		
		
			    6  Megaesophagus
		
		
			165 “The gulps”
		
		
			296  Eats feces
		
		
			168  Pica (eats nonfood items) (from rocks to socks)
		
		
			Comment: Incidence of kidney diseases, UTIs, cystitis, incontinence, etc.. in BMDs has been reported in several countries' KC/BC Health Surveys, (e.g., UK-KC 2014 reported kidney problems at 4.1%). The Nordic countries (Sweden in particular) report higher rates of renal dysplasia than have been reported in other countries. Agria Swedish BMD Breed profiles reflect notable VCE events for renal issues. Given today's breeders may be importing dogs for breeding from the Nordic countries / Sweden an awareness of renal disease which occurs in some family lines is advised. 
		
	 
	 
	 
	HGTD DNA Tests for Bernese Mountain Dogs
	The Harmonization of Genetic Testing for Dogs (HGTD) Basics: -  The HGTD Searchable Database - Search by Breed, Search by Disease / Test and Search by Genetic Test Provider (GTP) / Lab + Genetic Counselling Resources. HGTD catalogs information provided voluntarily from genetic test providers (GTPs) including information on their company and services, quality measures and expertise, tests offered and more. As of January 2021, the HGTD Database includes 82 academic and commercial genetic test providers (GTPs) in 22 countries. Our searchable genetic phenes (phenes = characteristics/genetically controlled feature) database currently holds information on 300+ phenes across all breeds/types and provides information on each phene: links to the Online Mendelian Inheritance in Animals database (OMIA), gene + mutations, a simple and advanced disease description, inheritance details, links to original publications, patents/licenses, comments from the original researchers/experts on application, and breed specific information (such as research/validation) - where possible. Breed Relevance Ratings (BRR) support evidence-based usage and application of genetic tests. The HGTD database relevance rating indicates the level of available evidence supporting the application of a specific genetic test for a specific breed/type. Currently, the relevance rating is based on a wide variety of evidence sources. This includes peer-reviewed research papers, recommendations from the original researchers/test developers, input from additional experts including veterinary specialists, and breed experts. It is hoped that, by being more informative about what we currently know or do not know about a specific test for a specific breed, that dog health advisors and owners can make more informed decisions. Remember, this Breed Relevance Rating is not everything we need to know about the disease or characteristic; it is focused on the genetic test.
	♦ BIG PICTURE THINKING ♦ Please take into consideration - Most of the owner and breeder reported inherited or likely inherited disease concerns of the breed do not currently have genetic tests. There are 4 genetic tests that are applicable to this breed (VWD type 1, two (2) tests for DM, and the HS test) which can be valuable for breeders to use to efficiently reduce risks while supporting good genetic diversity in the breed as a whole. Both Degenerative Myelopathy and Histiocytic (cancers) diseases are evident in the breed. The three most prominent genetic tests,  Two (2) Degenerative Myelopathy (DM) tests and Histiocytic Sarcoma (HS), are both risk-factor tests with varying estimations of ability to inform on clinical development of the conditions. They are most often recommended as pre-breeding considerations for breeders, by the researchers investigating DM and HS. See the HGTD for a full list of DNA tests including "Trait" and "Parentage" tests.
	Test: Von Willebrand Disease
	 
	HSP comment:
	VWD type 1 is the most common bleeding disorder among dogs, and the causal mutation has been found in many breeds. This form is generally less severe than VWD type 2 and 3 but could still be important for the health and welfare of your dog. This disorder is inherited as a dominant trait with incomplete penetrance, which means that not all dogs that have the vWF mutation will present clinical signs of the disease.        
	 
	Test: Degenerative Myelopathy 
	 
   
	HSP Comment:
	DM testing for BMD should include a test that reports on both of the mutations associated with DM risk: one for the SOD1:c.118A mutation (exon 2) and one for the SOD1:c.52T, referred to as SOD1-B (exon 1). It is critical to understand that the two mutations only refer to risk. The DM test is a risk-factor test. It does not identify causal mutation(s) and is not diagnostic. DM inheritance is autosomal recessive with incomplete penetrance. The environmental factors and possible other risk mutations for developing clinical DM are not known in BMD (or other breeds). Some dogs who test at-risk never go on to develop DM symptoms. It is not known why this is. Breeding recommendations are to use test results to avoid producing at-risk puppies, while still utilizing as many good-quality dogs as possible. Clear tested dogs can be mated to any other test result. Carrier or at-risk (that may become affected) tested dogs should be mated to clear only.
	Test: HS-Pretest
	 
	HSP Comment:  
	The researchers who developed this test have specifically commented that this is a test to aid in selection for breeding and is not a predictive/diagnostic test for HS. Results are provided by the researchers as A, B, C to indicate lowest risk (A), neutral (B), and higher risk (C). Breeders are encouraged to select breeding pairs that encourage genetic diversity, and that this risk test should be one of many considerations. A and B dogs can be used in any combination to reduce risk. C dogs should not be removed from consideration, but a breeding to another C dog should be avoided in order to reduce over-all risk to puppies. A tool has been developed to allow for test matings of dogs that have been tested so that selections that maximize better possible litter outcomes can be reviewed. See: https://www.antagene.com/en/antagene/why-use-hsims
	Test: Coat colour dilution, dilution, MLPH-related
	 
	HSP comment:
	Responsible for "dilute" pigmentation, and colour dilution-related alopecia (CDA). CDA causes patches of hair thinning or loss and may also include flaky and/or itchy skin. The condition is most commonly seen in dogs with a "blue" or "fawn" coat. While available for the BMD, the breed is not listed in currently available research for the specific causal mutation. It is currently unknown how relevant this test is to the BMD.         
	       
	
	 Genetic Diversity in the Bernese Mountain Dogs - Research & Reports
Genetic Diversity in the Bernese Mountain Dogs - Research & Reports
	See The Finnish JTO (pgs. 18-19). Section 4.1.2 covers Genetic diversity of the breed.
	The Breed Association started to map the genetic diversity of Bernese Mountain Dogs in autumn 2013. The MyDogDNA test panel was utilized in the multi-diversity survey.
	Betterbred Preliminary Summary of Bernese Mountain Dogs 2020
	Note: the Betterbred summary is based upon analysis of 41 Bernese Mountain Dogs
	UK: The Kennel Club: Population Analysis of the Bernese Mountain Dog (1980-2019)
	Comment: A low number of founders coupled with at least 2 recognized bottlenecks, extensive use of popular sires and application of breeding selection criteria which has limited the number of individual dogs used for breeding, generation after generation (by some estimates only 10% of each generation is used for breeding), has contributed to a loss of genetic diversity in this breed (levels of inbreeding are estimated at 25%-35%).  Further study of and attention to genetic diversity in this breed is needed, and perhaps warranted given classic signs of inbreeding depression appear to exist - fertility issues, small litters sizes, immune system issues, increase in heritable diseases (relative to other breeds and dogs in general) and a low average age of death exist. While tools to calculate coefficients of inbreeding based on 3, 5 and 10 generation pedigrees are available today, thanks to study of the genome in dogs, tools exist to measure the genetic coefficient of inbreeding (COI) which is the most accurate method for measuring inbreeding. Genetic variation to improve traits and reduce disease is essential for the future of this beloved breed. (See references above and below.) 
	History - the drift
	Comment: Undoubtedly the Bernese Mountain Dog breed has become increasingly popular worldwide post WWII. Traits have been selected for based upon use of the dogs - Berners have always been substantial, tractable dogs. Below see a few photos of BMDs from the last century. Many of the Berners of today that are exhibited in the show rings are more heavily coated and heavier made than dogs of the past. The drift towards extremes in many breeds has created health challenges. We encourage caretakers of this breed to pay heed to breed descriptions available in Breed Standards and not to get caught up in trends that result in production of dogs with excess size, weight, flashy movement inappropriate for the breed, incorrect proportions, extremely heavy bones, incorrect coats or features that can place additional stress on the dog's systems and interfere with ability to function. (See the Illustrated Standard references below.)
	
 
	 
	
 
	
 
	 
	The pictures above are dogs that lived from the 19'teens through the 1970's. 
	 
	 
	A Word on Cross Breeding of the Bernese Mountain Dog
	 
	With the rise in popularity of designer hybrid breeds, the Bernese Mountain Dog is combined with other dog breeds. The internet is a publicity hub with numerous sites promoting Berner mixes (Bernerdoodle, Golden Mountain dog etc...) It is important to recognize that the unique characteristics of purebred dog breeds have been set by generations of selective breeding. Each purebred dog breed carries phenotypic and genotypic traits (character, body style and predispositions to develop health conditions).  While designer breed dogs are often promoted as healthier and possessing the 'best' characteristics of both breeds, the truth is, prices for 'rare' designer dogs may be exceedingly high and breeder commitment to understanding underlying genetics of health conditions and necessary health screening of the parents and families of dogs used in the crossbreeding with the aim to minimize risks is often lacking.  There are a few clubs with Bernerdoodle / crossbreeding position statements - references. See Bernese Mountain Dog Club of America position statement & Advisory Letter.
	Crosses that are not your average 'designer dogs' destined for pet homes - Guide dog programs in several countries (eg. MIRA US and MIRA Canada) have embraced Bernese Mountain Dog and Labrador/Golden Retriever crosses showing that these crosses do well in seeing eye dog training programs/placements, combining many of the great traits of both breeds.
	Grooming issues seem to be a problem with many 'designer' doodle crosses - and the marketing of the doodle breeds involves claims of hybrid vigor, 'healthier', superlative, happy, friendly, hypoallergenic companions. See the Groomer Letter and Hypoallergenic Dogs: Does Such a Thing Really Exist? as both articles pertain to doodle crosses.  
	HGTD - GTP and Screening tests for Bernerdoodles a.k.a Berndoodles
	Bernerdoodles are becoming a popular choice for pets in the United States. There are no crossbreeding programs sanctioned by official Registries or Kennel or Breed clubs at this time for Bernese Mountain Dogs;  but, that does not change the fact that there are dog breeders producing Bernerdoodles.  GTPs are offering DNA tests. Screening tests (HD, ED, Eyes, etc...) that are used in each breed are applicable to crosses along with all the conditions and diseases known to exist in each breed for which there are or are not screening tests. First generation crosses of 1 breed with another breed (F1) - BMD X Standard Poodle are not the same as breeding subsequent generations... It’s worth noting that only the first generation crosses, the F1 crosses, are able to be predicted to some degree. They each have 50% of their genes from each parent. But if those F1 dogs are then bred, all bets are off, there is no way to know which of the two breeds will predominate, if either.  Coat Color genetics for Bernerdoodles is complicated - best to check with the GTPs as to how coat colors are determined when mixing a strictly marked tri-colored breed with a breed that comes in many different coat colors. Testing of coat-color genetics in pups may be advised as rust colors present in young pups have been known to fade/disappear in adulthood.  HGTD GTP tests for Berndoodles are listed below...
	
		More Info
	
	
		
			Berndoodle Summary: There are a number of tests available as breed-specific offerings for Berndoodle. Crosses are also recommended to consider using all/any tests relevant to the original breeds – e.g. BMD and poodles. As there are a number of poodle types, which may have type-specific relevant tests (e.g. Neonatal Encephalopathy with Seizures is breed-specific to Standard Poodles), it is especially important to know what breeds have been used to create your specific Berndoodle. Breeders who are unsure of the crossing undertaken may wish to use all tests relevant for poodles, poodle crosses, and BMD, and may wish to seek additional advice when considering the results in selection for breeding.
		
		
			BRR = Breed Relevance Rating
		
		
			Degenerative Myelopathy 
		
		
			 
		
		
			HSP comment:
		
		
			DM testing for Berndoodle should include a test that reports on both of the mutations associated with DM risk: one for the SOD1:c.118A mutation (exon 2) and one for the SOD1:c.52T, referred to as SOD1-B (exon 1). It is critical to understand that the two mutations only refer to risk. The DM test is a risk-factor test. It does not identify causal mutation(s) and is not diagnostic. DM inheritance is autosomal recessive with incomplete penetrance. The environmental factors and possible other risk mutations for developing clinical DM are not know in BMD and Poodles, (or other breeds). Some dogs who test at-risk never go on to develop DM symptoms. It is not known why this is. Breeding recommendations are to use test results to avoid producing at-risk puppies, while still utilizing as many good-quality dogs as possible. Clear tested dogs can be mated to any other test result. Carrier or at-risk (affected) tested dogs should be mated to clear only.
		
		
			Von Willebrand Disease I
		
		
			 
		
		
			VWD type 1 is the most common bleeding disorder among dogs, and the causal mutation has been found in many breeds. This form is generally less severe than VWD type 2 and 3 but could still be important for the health and welfare of your dog. This disorder is inherited as a dominant trait with incomplete penetrance, which means that not all dogs that have the vWF mutation will present clinical signs of the disease. VWD 1 is currently relevant for both BMD and many poodle types.
		
		
			Progressive Retinal Atrophy rcd4 (PRA rcd4)
		
		
			 
		
		
			HSP comment:
		
		
			PRA rcd4 is one of a number of late-onset PRAs (sometimes called LOPRA) Unlike other forms of PRA, such as rcd1, the age at which dogs with the rcd4 mutation develop PRA varies with reports as young as 2-3 up to 10-11 yo. PRA rcd4 is currently relevant to poodles and poodle-crosses.
		
		
			Neonatal Encephalopathy with Seizures
		
		
			 
		
		
			HSP: The BRR for this condition for Berndoodle is not fully known. Berndoodle created from a cross using a Standard Poodle should consider this genetic test, as research has indicated it is relevant for Standard Poodles, and at least 1 poodle cross variety (Goldendoodle). Whilst likely uncommon, this is a welfare-impacting, life-ending disease.
		
		
			Asymptomatic Macrothrombocytopenia (yellow)
		
		
			 
		
		
			HSP: This genetic test is available for several breeds, including Berndoodle and poodles. Currently there is no available research to inform on the relevance, and the BRR is currently under investigation.
		
	 
	      
	 
	References and Resources
	 
	On Conditions and Diseases
	Life / Cause of Death
	Klopfenstein, M., Howard, J., Rossetti, M., & Geissbühler, U. (2016). Life expectancy and causes of death in Bernese mountain dogs in Switzerland. BMC veterinary research, 12(1), 153. https://doi.org/10.1186/s12917-016-0782-9
	Finland: Berninpaimenkoirien julkinen kuolinsyytilasto /  Public mortality statistics for Bernese Mountain Dogs
	Note: The owners of the dogs in the statistics have given their consent to the publication of the data and their use for the international exchange of information to promote the breeding of the breed. Excellent! 
	 
	Orthopedics
	Sweden: Evaluation of measures within the framework of SKK centrally administered health program for elbow dysplasia in Bernese Mountain Dog. Berndt Klingeborn, Convener, Swedish Sennenhundklubben's breeding council
	Sweden: Hedhammar A (2020) Swedish Experiences From 60 Years of Screening and Breeding Programs for Hip Dysplasia—Research, Success, and Challenges. Front. Vet. Sci. 7:228. doi: 10.3389/fvets.2020.00228
	Netherlands: Lavrijsen ICM, Heuven HCM, Voorhout G, Meij BP, Theyse LFH, Leegwater PAJ, et al. Phenotypic and genetic evaluation of elbow dysplasia in Dutch Labrador Retrievers, Golden Retrievers, and Bernese Mountain dogs. Vet J. (2012) 193:486–92. doi: 10.1016/j.tvjl.2012.01.001
	Switzerland: Prevalence of Canine Hip Dysplasia in Switzerland Between 1995 and 2016-A Retrospective Study in 5 Common Large Breeds.
	UK: O’Neill, D.G., Brodbelt, D.C., Hodge, R. et al. Epidemiology and clinical management of elbow joint disease in dogs under primary veterinary care in the UK. Canine Genet Epidemiol 7, 1 (2020). https://doi.org/10.1186/s40575-020-0080-5
	Murthy, V. D., Gaitero, L., & Monteith, G. (2014). Clinical and magnetic resonance imaging (MRI) findings in 26 dogs with canine osseous-associated cervical spondylomyelopathy. The Canadian veterinary journal = La revue veterinaire canadienne, 55(2), 169–174.
	Oberbauer, A. M., Keller, G. G., & Famula, T. R. (2017). Long-term genetic selection reduced prevalence of hip and elbow dysplasia in 60 dog breeds. PloS one, 12(2), e0172918. https://doi.org/10.1371/journal.pone.0172918
	Hou Y, Wang Y, Lu X, Zhang X, Zhao Q, Todhunter RJ, Zhang Z. Monitoring Hip and Elbow Dysplasia achieved modest genetic improvement of 74 dog breeds over 40 years in USA. PLoS One. 2013 Oct 4;8(10):e76390. doi: 10.1371/journal.pone.0076390. Erratum in: PLoS One. 2013;8(10). doi:10.1371/annotation/92e1aa00-169b-45dc-9866-61034e061f6d. PMID: 24124555; PMCID: PMC3790730.
	 
	Cancer
	April 2021: Hédan B, Cadieu É, Rimbault M, Vaysse A, Dufaure de Citres C, Devauchelle P, et al. (2021) Identification of common predisposing loci to hematopoietic cancers in four dog breeds. PLoS Genet 17(4): e1009395. doi:10.1371/journal.pgen.1009395
	August 2015: HISTIOCYTIC SARCOMA IN DOGS - Genetic progress in the fight against histiocytic sarcoma - last update of the genetic risk test: HS Pretest. Benoit Hedan benoit.hedan@univ-‐rennes1.fr. Catherine André catherine.andre@univ-‐rennes1.fr. Canine Genetics Team IGDR UMR6290 CNRS Univ.Rennes1. Collaboration with: Anne Thomas and Caroline Dufaure de Citres. ANTAGENE
	HSIMS Breeder's tool Antagene
	 
	Renal
	Bernese Mountain Dogs are more likely to develop an inflammatory kidney disease, glomerulonephritis, than other pedigree dogs. ref. theory study
	Preyß-Jägeler, C., Hartmann, K. & Dorsch, R. Changes in renal parameters and their association with subclinical vector-borne infections in Bernese Mountain dogs. BMC Vet Res 16, 285 (2020).
	 
	Neurologic
	Zeng, R., Coates, J., Johnson, G., Hansen, L., Awano, T., Kolicheski, A., Ivansson, E., Perloski, M., Lindblad‐Toh, K., O'Brien, D., Guo, J., Katz, M. and Johnson, G. (2014), Breed Distribution of SOD1 Alleles Previously Associated with Canine Degenerative Myelopathy. J Vet Intern Med, 28: 515-521.
	Breeding Bernese Mountain Dogs to Avoid Degenerative Myelopathy without Negatively Impacting the Gene Pool 
	 
	Eyes
	See the ACVO Blue Book v.12 (pgs. 158-162) or other KC DBs (shown below) for data.
	 
	Other conditions - Vector-borne
	ESCCAP Guideline 05 Third Edition – March 2019 - Control of Vector-Borne Diseases in Dogs and Cats        
	In the JAVMA February, 2020 article, Tiny ticks, big threat - Ticks responsible for most U.S. vector-borne diseases
	Veterinarians are seeing more cases of Lyme disease... According to the Companion Animal Parasite Council, the number of canine Lyme disease cases increased from 245,971 in 2015 to 336,200 in 2019. Increases in the numbers of other tick-borne diseases were also reported, including canine anaplasmosis, up from 117,203 in 2015 to 207,825 in 2019, and canine ehrlichiosis, up from 107,985 in 2015 to 186,075 in 2019. 
	Spay/Neuter
	Hart BL, Hart LA, Thigpen AP and Willits NH (2020) Assisting Decision-Making on Age of Neutering for 35 Breeds of Dogs: Associated Joint Disorders, Cancers, and Urinary Incontinence. Front. Vet. Sci. 7:388. doi: 10.3389/fvets.2020.00388
	 
	Genetic Diversity
	Dreger DL, Rimbault M, Davis BW, Bhatnagar A, Parker HG, Ostrander EA. Whole-genome sequence, SNP chips and pedigree structure: building demographic profiles in domestic dog breeds to optimize genetic-trait mapping. Dis Model Mech. 2016 Dec 1;9(12):1445-1460. doi: 10.1242/dmm.027037. Epub 2016 Nov 17. PMID: 27874836; PMCID: PMC5200897.     
	 
	DogWellNet Resources
	DWN's Database page for Bernese Mountain Dogs
	HGTD - Bernese Mountain Dogs
	 
	Illustrated Standards-Study Guides/Compendiums
	Illustrated FCI – Standard No. 45
	Bernese Mountain Dog (“Dürrbächler”)
	Approved by the Swiss Club of Bernese Mountain Dog © 2020  
	Swiss Club of Bernese Mountain Dog 
	For Judges: An Illustrated Commentary on the BMD Breed Standard (FCI) 
	Dansk Berner Sennen Klub: Health Symposium - International Judge Meeting - presentation: http://berner-sennen.dk/wp-content/uploads/2018/10/Health-Symposium-2018-Regula-Burgi.pdf -- (Internal: Health-Symposium-2018-Regula-Burgi.pdf) 
	BMDINFO - Breed Standard Review
	 
	Database Resources
	International: Berner-Garde Foundation - Open Bernese Mountain Dog Database (USA|English)
	A terrific resource developed to assist BMD breeders. International listings - include pedigrees, health records, titles and COI/Stud Finder tools. Data is primarily focused on presentation of individual dog's records - breeder research. Actions are needed to expand reports and to use data to track trends or impacts in the breed. Submissions are voluntary. 
	Sweden: SKK HUNDDATA: https://hundar.skk.se/hunddata/
	Sweden: SKK AVELSDATA: https://hundar.skk.se/avelsdata/Initial.aspx
	Finland: Jalostustietojärjestelmä | Suomen Kennelliitto: Finnish Kennel Club: https://jalostus.kennelliitto.fi/frmEtusivu.aspx?R=111
	Germany: SSV Dogbase, closed, member breeders only. Used by the German, Swiss, and Austrian clubs. 
	Norway: Dogweb: https://www.dogweb.no/dogweb/dw/openPage/hoved.html
	France: SCC: Lof Select: https://www.centrale-canine.fr/lofselect
	UK: The Kennel Club: Mate Select: https://www.thekennelclub.org.uk/services/public/mateselect/
	US: OFA: https://ofa.org
	 
	 
	IPFD and The World Small Animal Veterinary Association
	See our series of Meet the Breed articles in the WSAVA Bulletin and associated Get a GRIHP! Articles on DogWellNet.com:
	 
	- 
		Welsh Corgi
	
- 
		Dachshund
	
- 
		French Bulldog   
- 
		Australian Shepherd
	
- 
		Saluki
	
- 
		Golden Retriever
	
- 
		Bernese Mountain Dog
	
- 
		Black Russian Terrier
	
- 
		Pug
	
- 
		Finnish Spitz
	
- 
		Rhodesian Ridgeback
	
- 
		Rottweiler
	
- 
		Whippet
	
- 
		Belgian Shepherd
	
- 
		English Bulldog
	
- 
		Irish Soft Coated Wheaten Terrier
	
- 
		Dalmatian
	
- 
		Border Terrier 
	
- 
		Staffordshire Bull Terrier
	
- 
		Siberian Husky
	
- 
		Dobermann
	
- 
		Shih Tzu
	
- 
		English Setter
	
- 
		Beagle
	
- 
		Chihuahua
	
	 
			
		
       
	 
Recommended Comments
There are no comments to display.
Join the conversation
You can post now and register later. If you have an account, sign in now to post with your account.
Note: Your post will require moderator approval before it will be visible.